ಲಾಕ್ಡೌನ್ ಸಡಿಲಿಕೆ ಬೆನ್ನಲ್ಲೇ ಕಾಸರಗೋಡು ಹಾಗೂ ದ.ಕ. ಜಿಲ್ಲೆಯ ನಡುವಿನ ಸಂಚಾರಕ್ಕೆ ಪಾಸ್ ಗಾಗಿ ಹಲವರು ಪ್ರಯತ್ನಿಸುತ್ತಿದ್ದಾರೆ. ಎರಡೂ ಜಿಲ್ಲೆಗಳ ಜನರ ಅಂತರಾಜ್ಯ ಪ್ರಯಾಣಕ್ಕೆ ಇಲ್ಲಿಯವರೆಗೆ ತಡೆ ಇತ್ತು. ಇದೀಗ ಪಾಸ್ ವ್ಯವಸ್ಥೆ ಮಾಡಲಾಗಿದ್ದು, ಇಲ್ಲಿದೆ ಹೆಚ್ಚಿನ ಮಾಹಿತಿ.
ಮಂಗಳೂರು(ಜೂ.05): ಲಾಕ್ಡೌನ್ ಸಡಿಲಿಕೆ ಬೆನ್ನಲ್ಲೇ ಕಾಸರಗೋಡು ಹಾಗೂ ದ.ಕ. ಜಿಲ್ಲೆಯ ನಡುವಿನ ಸಂಚಾರಕ್ಕೆ ಪಾಸ್ ಗಾಗಿ ಹಲವರು ಪ್ರಯತ್ನಿಸುತ್ತಿದ್ದಾರೆ. ಎರಡೂ ಜಿಲ್ಲೆಗಳ ಜನರ ಅಂತರಾಜ್ಯ ಪ್ರಯಾಣಕ್ಕೆ ಇಲ್ಲಿಯವರೆಗೆ ತಡೆ ಇತ್ತು. ಇದೀಗ ಪಾಸ್ ವ್ಯವಸ್ಥೆ ಮಾಡಲಾಗಿದೆ.

ಪಾಸ್ ವ್ಯವಸ್ಥೆ ಮಾಡಿದ್ದರೂ, ಜನರಿಗೆ ಮಾತ್ರ ಈ ಬಗ್ಗೆ ಗೊಂದಲಗಳು ಉಳಿದಿವೆ. ಪ್ರಯಾಣದ ಅವಧಿ, ಪ್ರಯಾಣಿಕರ ಸಂಖ್ಯೆ, ಪಾಸ್ಗಳ ಪರಿಮಿತಿ ಹೀಗೆ ಹತ್ತು ಹಲವು ಗೊಂದಲಗಳು ಜನರಲ್ಲಿದೆ. ಈ ಪ್ರಕ್ರಿಯೆಯನ್ನು ಸರಳವಾಗಿ ಇಲ್ಲಿ ಪರಿಚಯಿಸಲಾಗಿದೆ.
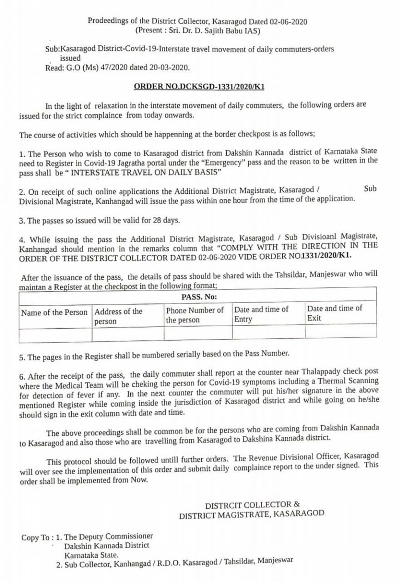
1) ಕಾಸರಗೋಡು ಹಾಗೂ ದ.ಕ. ಜಿಲ್ಲೆಯ ನಡುವಿನ ದೈನಂದಿನ ಓಡಾಟಕ್ಕಾಗಿ ಕಾಸರಗೋಡು ಹಾಗೂ ದ.ಕ. ಎರಡೂ ಜಿಲ್ಲಾಡಳಿತಗಳು ಪ್ರತ್ಯೇಕ ಪೋರ್ಟಲ್ ಗಳನ್ನು ತೆರೆದಿವೆ. ಆನ್ ಲೈನ್ ಮೂಲಕ ಈ ಪೋರ್ಟಲ್ ಗಳನ್ನು ಬಳಸಿ ಮೊಬೈಲಿನಲ್ಲೇ ಪಾಸ್ ಪಡೆಯಬಹುದು.<br/>2) ನೆನಪಿಡಿ ಈ ಪಾಸ್ ನೀಡುತ್ತಿರುವ ಕಾಸರಗೋಡು ಹಾಗೂ ದ.ಕ. ಜಿಲ್ಲೆಯ ನಡುವೆ ದಿನನಿತ್ಯ ಓಡಾಡುವವರಿಗೆ ಮಾತ್ರ. ಬೆಳಗ್ಗೆ ಹೋಗಿ ಸಂಜೆ ಮರಳುವವರಿಗೆ (ಇದು ಎರಡೂ ಜಿಲ್ಲೆಯವರಿಗೆ ಅನ್ವಯ). ದೈನಂದಿನ ಉದ್ಯೋಗಕ್ಕೆ ತೆರಳುವವರು ಅಥವಾ ವಿದ್ಯಾರ್ಥಿಗಳನ್ನು ಹೊರತುಪಡಿಸಿ ಇನ್ಯಾರೂ ಈ ಪೋರ್ಟಲ್ ಮೂಲಕ ಪಾಸ್ ಗೆ ಪ್ರಯತ್ನಿಸಬೇಡಿ. ಯಾರೋ ಸಂಬಂಧಿಕರು ಆಚೆ ಜಿಲ್ಲೆಯಲ್ಲಿ ಉಳಿದಿದ್ದಾರೆ, ಅಥವಾ ನಾನು ಇಂದು ಮಂಗಳೂರಿನಿಂದ ಕಾಸರಗೋಡಿಗೆ ಹೋಗಿ ನಾಳೆ ಬರುತ್ತೇನೆ ಎಂಬಿತ್ಯಾದಿ ಕಾರಣಗಳನ್ನಿಟ್ಟು ಈ ಪಾಸ್ ಗೆ ಪ್ರಯತ್ನಿಸಲು ಸಾಧ್ಯವಿಲ್ಲ.

3) ಈ ಪೋರ್ಟಲ್ ಬಳಸಿ ಪಾಸ್ ಪಡೆದು ಅಲ್ಲಿ ನಮೂದಿಸಿದ ಸಮಯದೊಳಗೆ ಗಡಿ ದಾಟಿ ಅದೇ ದಿನ ವಾಪಸ್ ಬರಬೇಕು. ಅದು ಆನ್ ಲೈನಿನಲ್ಲಿ ದಾಖಲಾಗುತ್ತದೆ. ಯಾರಾದರೂ ನಿಗದಿತ ಸಂದರ್ಭದಲ್ಲಿ ವಾಪಸ್ ಬಾರದಿದ್ದರೆ ಅದು ಕಾನೂನು ಉಲ್ಲಂಘನೆ ರೂಪದಲ್ಲಿ ಶಿಕ್ಷಾರ್ಹ ಅಪರಾಧ ಆಗುತ್ತದೆ. ಆದ್ದರಿಂದ ಪೋರ್ಟಲ್ ಮೂಲಕ ಪಡೆಯುವ ಪಾಸ್ ಅದೇ ದಿನ ಹೋಗಿ, ಅದೇ ದಿನ ಮರಳಲು ಎಂಬುದು ನೆನಪಿರಲಿ.<br/>4) ಈ ಪೋರ್ಟಲ್ ಬಳಸಿ ಪಡೆದ ಪಾಸ್ ಉಪಯೋಗಿಸಿ ನೀವು ಗಡಿ ದಾಟಿ ಹೋಗಿ ಬಂದರೆ ನಿಮಗೆ ಕ್ವಾರಂಟೇನ್ ವಿಧಿಸುವುದಿಲ್ಲ. ಈ ತಿಂಗಳ ಅಂತ್ಯದ ತನಕ ನೀವು ಈ ಪಾಸ್ ಬಳಸಬಹುದು. ಬಾರ್ ಕೋಡ್ ರೂಪದಲ್ಲಿ ಗಡಿ ದಾಟುವಾಗ ನಿಮ್ಮ ಪಾಸ್ ವಿವರ ಹಾಗೂ ಗಡಿ ದಾಟಿದ್ದು ಆನ್ ಲೈನ್ ಮೂಲಕ ದಾಖಲಾಗುತ್ತದೆ. ಒಂದು ವೇಳೆ ನೀವು ಗಡಿ ದಾಟಿ ಅದೇ ದಿನ ಮರಳದಿದ್ದರೆ ಸಂಬಂಧಪಟ್ಟ ಜಿಲ್ಲಾಡಳಿತವರಿಗೆ ಅದು ಗೊತ್ತಾಗುತ್ತದೆ. ನಿಮ್ಮ ವಿರುದ್ಧ ಕ್ರಮ ಕೈಗೊಳ್ಳಬಹುದು.

5) ನೀವು ಒಂದೇ ಬಾರಿಗೆ ಎರಡೂ ಜಿಲ್ಲೆಯ ಪಾಸ್ ಪಡೆಯುವ ಅಗತ್ಯ ಇಲ್ಲ. ನೀವು ಕಾಸರಗೋಡು ಜಿಲ್ಲೆಯ ನಿವಾಸಿಯಾಗಿದ್ದು, ಮಂಗಳೂರಿನಲ್ಲಿ ಉದ್ಯೋಗಿಯಾಗಿದ್ದರೆ ದ.ಕ. ಜಿಲ್ಲೆಯ ಪಾಸ್ ಪಡೆಯಬೇಕು. ನೀವು ದ.ಕ. ಜಿಲ್ಲೆಯ ನಿವಾಸಿಯಾಗಿದ್ದು ಕಾಸರಗೋಡು ಜಿಲ್ಲೆಯ ಉದ್ಯೋಗಿ ಆಗಿದ್ದರೆ ಕಾಸರಗೋಡು ಜಿಲ್ಲೆಯ ಪಾಸ್ ಪಡೆಯಬೇಕು. ಒಬ್ಬ ವ್ಯಕ್ತಿ ಎರಡೂ ಜಿಲ್ಲೆಯ ಪಾಸ್ ಹೊಂದಬೇಕಾಗಿಲ್ಲ ಅನ್ನುವುದು ನೆನಪಿರಲಿ.<br/>6) ನೀವು ಪಾಸ್ ಹೊಂದಿದ್ದರೆ ಗಡಿ ತನಕ ಆಯಾ ಜಿಲ್ಲೆಯ ಬಸ್ಸಿನಲ್ಲಿ ಪ್ರಯಾಣಿಸಿ ಬಳಿಕ ಪಾಸ್ ತೋರಿಸಿ ತಪಾಸಣೆ ಬಳಿಕ ಗಡಿಯಾಚೆ ಇನ್ನೊಂದು ಜಿಲ್ಲೆಯ ಬಸ್ಸಿನಲ್ಲಿ ಪ್ರಯಾಣಿಸಲು ಸಾಧ್ಯ. ಈ ಕುರಿತು ಯಾರೂ ನಿಮಗೆ ಗಡಿಯಲ್ಲಿ ಅಡ್ಡಿ ಪಡಿಸುವುದಿಲ್ಲ. ಆಧರೆ, ಪ್ರಾಯೋಗಿಕವಾಗಿ, ಈಗಿನ ವ್ಯವಸ್ಥೆ ಪ್ರಕಾರ ನೀವು ಪಾಸ್ ಪಡೆಯಬೇಕಾದರೆ ನೀವು ಹೋಗುವ ವಾಹನದ ವಿವರ ನಮೂದಿಸುವುದು ಅಗತ್ಯ. ನೀವು ಯಾವ ವಾಹನದಲ್ಲಿ ಪ್ರಯಾಣಿಸುತ್ತೀರಿ ಎಂದು ತಿಳಿಸಿದರಷ್ಟೇ ನಿಮಗೆ ಪಾಸ್ ಸಿಗುತ್ತದೆ. ಆದ್ದರಿಂದ ಸದ್ಯದ ವ್ಯವಸ್ಥೆಯಲ್ಲಿ ತಮ್ಮದೇ ವಾಹನ (ಸ್ವಂತ ಅಥವಾ ಬಾಡಿಗೆ) ದಲ್ಲಿ ಸಂಚರಿಸುವವರಿಗೆ ಮಾತ್ರ ಪಾಸ್ ಸಿಗುತ್ತದೆ.
ಕಾಸರಗೋಡು-ಮಂಗಳೂರು ಪಾಸ್: ಸದ್ಯ ವಾಹನ ಇದ್ದವರಿಗಷ್ಟೆ ಸಂಚಾರ ಅವಕಾಶ
7) ಕೆಲವರು ಪಾಸ್ ಗೆ ಅಪ್ಲೈ ಮಾಡಿದ ಬಳಿಕ ಮೊಬೈಲಿಗೆ ಬರುವ ರೆಫರೆನ್ಸ್ ನಂಬರ್ ಹಿಡಿದು ತಲಪಾಡಿ ಗಡಿಗೆ ತೆರಳಿ ಅಲ್ಲಿ ಪಾಸ್ ಸಿಗುತ್ತದೆ ಎಂದು ತಿಳಿದುಕೊಂಡು ಪೇಚಾಡುತ್ತಿದ್ದಾರೆ. ಕೇವಲ ರೆಫರೆನ್ಸ್ ನಂಬರ್ ಹಿಡಿದು ತಲಪಾಡಿ ಗಡಿಗೆ ತೆರಳಿದರೆ ಗಡಿ ದಾಟಲು ಬಿಡುವುದಿಲ್ಲ. ನಿಮ್ಮ ಮೊಬೈಲಿಗೆ ಸರಿಯಾದ ಇ - ಪಾಸ್ ಬಂದ ಬಳಿಕವಷ್ಟೇ ನೀವು ತಲಪಾಡಿ ಗಡಿಗೆ ತೆರಳಬೇಕು. ಅಲ್ಲಿ ನಿಮಗೆ ಪಾಸ್ ನೀಡುವ ವ್ಯವಸ್ಥೆ ಇಲ್ಲ. ಪಾಸ್ ನೀಡುವುದು ಆನ್ ಲೈನಿನಲ್ಲಿ ಮಾತ್ರ.<br/>8) ಇಡೀ ದ.ಕ. ಜಿಲ್ಲೆಯಿಂದ ಕಾಸರಗೋಡು ಜಿಲ್ಲೆಗೆ ಪ್ರವೇಶಿಸಲು ಹಾಗೂ ತಪಾಸಣೆ ನಡೆಸಿ ಮತ್ತೊಂದು ಜಿಲ್ಲೆಗೆ ಬಿಡಲು ಸದ್ಯ ಅವಕಾಶ ಇರುವುದು ತಲಪಾಡಿ ಗಡಿಯಲ್ಲಿ ಮಾತ್ರ. ಹಾಗಾಗಿ ಕಾಸರಗೋಡು ಜಿಲ್ಲೆಯ ಯಾವುದೇ ಭಾಗದ ವ್ಯಕ್ತಿ ದ.ಕ. ಜಿಲ್ಲೆಗೆ ಅಥವಾ ದ.ಕ. ಜಿಲ್ಲೆಯ ಯಾವುದೇ ವ್ಯಕ್ತಿ ಕಾಸರಗೋಡು ಜಿಲ್ಲೆಯ ಯಾವುದೇ ಭಾಗಕ್ಕೆ ಹೋಗಬೇಕಾದರೂ ಸದ್ಯದ ಮಟ್ಟಿಗೆ ತಲಪಾಡಿ ಗಡಿಯಲ್ಲಿ ಮಾತ್ರ ಪ್ರಯಾಣಿಸಲು ಅವಕಾಶ. ಸಾರಡ್ಕ ಅಥವಾ ಇನ್ಯಾವುದೇ ಗಡಿಯಲ್ಲಿ ಪ್ರಯಾಣಿಸಲು ಬಿಡುವುದಿಲ್ಲ ಎಂಬುದು ನೆನಪಿರಲಿ.

9) ಗುರುವಾರ ಸಾಕಷ್ಟು ಮಂದಿ ದ.ಕ. ಜಿಲ್ಲೆಯ ಪಾಸ್ ಗೆ ಅಪ್ಲೈ ಮಾಡಿದ್ದರೂ ಗುರುವಾರ ಸಂಜೆ ತನಕ ಪಾಸ್ ಸಿಕ್ಕಿರಲಿಲ್ಲ. ಹಲವು ಮಂದಿ ಪಾಸ್ ಗೆ ಪ್ರಯತ್ನಿಸುತ್ತಿದ್ದು ಹಂತ ಹಂತವಾಗಿ ಪಾಸ್ ನೀಡಲಾಗುವುದು, ಈ ಬಗ್ಗೆ ಗೊಂದಲ ಬೇಡ ಎಂದು ಅಧಿಕಾರಿಗಳು ತಿಳಿಸಿದ್ದಾರೆ.<br/>10) ನಿಮ್ಮ ದೈನಂದಿನ ಉದ್ಯೋಗಾರ್ಥದ ಓಡಾಟದ ಹೊರತು ಇನ್ಯಾವುದೇ ಕಾರಣಗಳಿಗಾಗಿ (ಬಂಧುಗಳ ಭೇಟಿ, ಕುಟುಂಬದವರನ್ನು ಕರೆತರುವುದು, ಅನಾರೋಗ್ಯ) ಇತ್ಯಾದಿ ಯಾವುದೇ ಕಾರಣಗಳಿಂದ ನೀವು ಗಡಿ ದಾಟಬಯಸುವುದಿದ್ದರೆ ಈ ಹಿಂದಿನಂತೆ ಸೇವಾಸಿಂಧು ಪೋರ್ಟಲ್ ಮೂಲಕವೇ ಪಾಸ್ ಗೆ ಅಪ್ಲೈ ಮಾಡಬೇಕು ಹಾಗೂ ಸೇವಾಸಿಂಧು ಪಾಸ್ ಬಳಸಿ ಗಡಿ ದಾಟಿದರೆ ನಿಮಗೆ ಸರ್ಕಾರಿ ನಿಯಮದಂತೆ ಕ್ವಾರಂಟೈನ್ ವಿಧಿಸಲಾಗುತ್ತದೆ. ಗುರುವಾರದ ಬಂದ ಪರಿಷ್ಕೃತ ಆದೇಶದ ಪ್ರಕಾರ ಕರ್ನಾಟಕದಲ್ಲಿ ಏಳು ದಿನಗಳ ಸಾಂಸ್ಥಿಕ ಕ್ವಾರಂಟೇನ್ ಹಾಗೂ 14 ದಿನಗಳ ಗೃಹ ಕ್ವಾರಂಟೈನ್ ವಿಧಿಸಲಾಗುತ್ತದೆ. ಅದೇ ರೀತಿ ರೈಲು ಅಥವಾ ವಿಮಾನದಲ್ಲಿ ಹೊರ ರಾಜ್ಯದಿಂದ ಬಂದವರಿಗೂ ಇದೇ ಕ್ವಾರಂಟೈನ್ ನಿಯಮ ಅನ್ವಯ ಎಂಬುದು ನೆನಪಿರಲಿ.<br/><br/>-ಕೃಷ್ಣಮೋಹನ ತಲೆಂಗಳ.
#NewsIn100Seconds: ಈ ಕ್ಷಣದ ಪ್ರಮುಖ ಹೆಡ್ಲೈನ್ಸ್
"
