ಮಂಗಳವಾರ ಸಾಯಂಕಾಲದಿಂದ ಬುಧವಾರ ಸಾಯಂಕಾಲದವರೆಗಿನ ಕೋವಿಡ್ 19 ಸೋಂಕಿತರ ಸಂಖ್ಯೆಯಲ್ಲಿ ದಾಖಲೆಯಾಗಿದೆ.
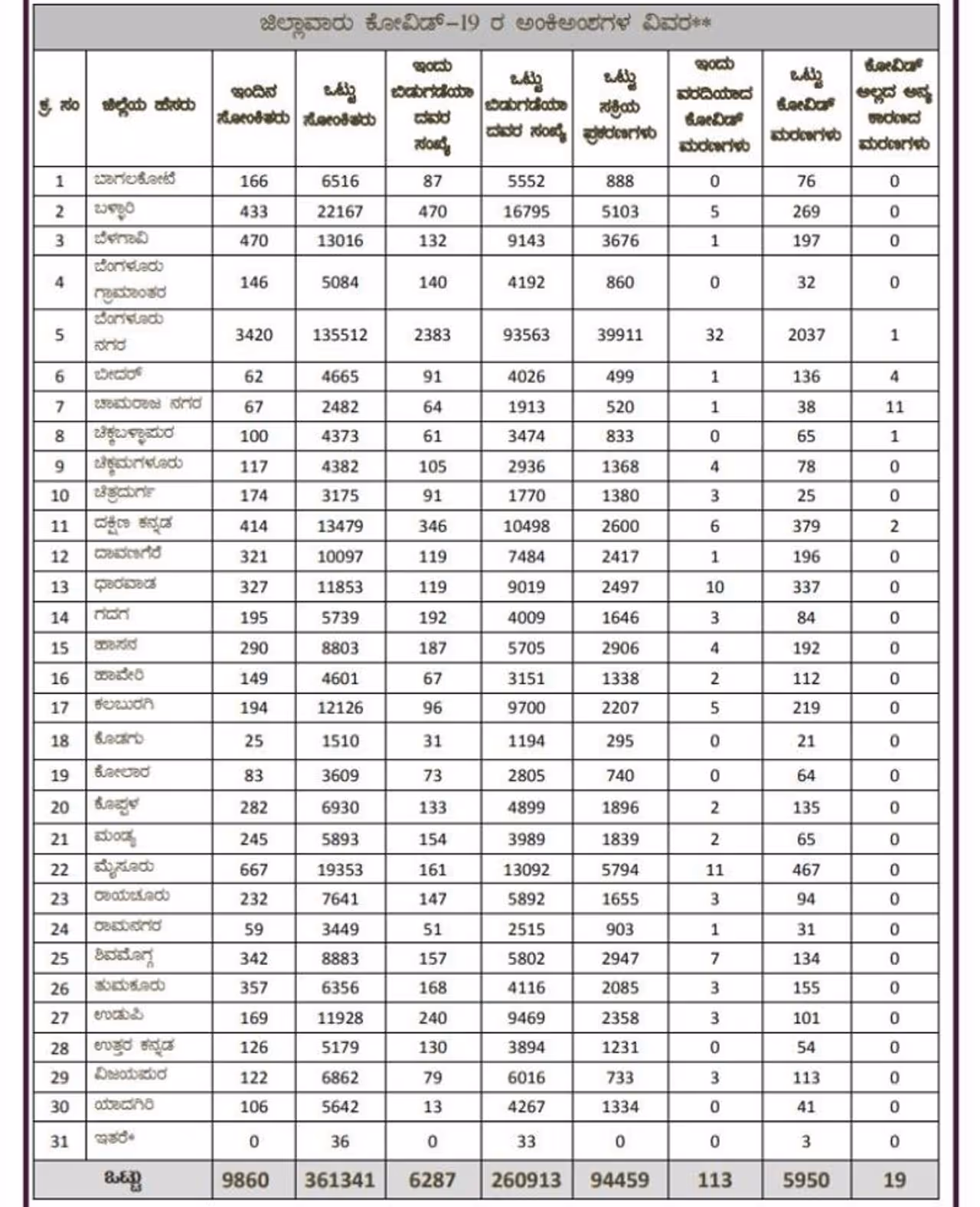
ಬೆಂಗಳೂರು, (ಸೆ.02): ರಾಜ್ಯದಲ್ಲಿ ಇಂದು (ಬುಧವಾರ) 9,860 ಕೊರೋನಾ ಪಾಸಿಟಿವ್ ಪ್ರಕರಣಗಳು ಪತ್ತೆಯಾಗಿವೆ. ಒಂದೇ ದಿನದಲ್ಲಿ ಅತ್ಯಧಿಕ ಜನರು ಸೋಂಕಿಗೆ ಒಳಗಾದ ದಾಖಲೆಯೂ ಇದಾಗಿದೆ.

ಈ ಮೂಲಕ ಸೋಂಕಿತರ ಸಂಖ್ಯೆ 3,61,341 ಕ್ಕೆ ಏರಿಕೆಯಾಗಿದೆ. ಇನ್ನು, ಇಂದು ಚೇತರಿಕೆ ಕಂಡವರ ಸಂಖ್ಯೆ ಕೂಡ ಇಳಿಕೆಯಾಗಿದ್ದು, 6,287 ಜನರು ಗುಣವಾಗಿದ್ದಾರೆ.
ಬೆಂಗಳೂರಲ್ಲಿ ಮೂರೇ ದಿನದಲ್ಲಿ 76297 ಕೋವಿಡ್ ಟೆಸ್ಟ್
ಮೃತರ ಸಂಖ್ಯೆ ಕೂಡ ಶತಕ ದಾಟುತ್ತಲೇ ಇದ್ದು, ಇಂದು ಕೂಡ 113 ಜನರು ಮೃತಪಟ್ಟಿದ್ದಾರೆ. ಒಟ್ಟು ಸಾವಿನ ಸಂಖ್ಯೆ 5,950 ಆಗಿದೆ. ಪ್ರಸ್ತುತ 94,459 ಸಕ್ರೀಯಾ ಪ್ರಕರಣಗಳಿದ್ದು, 751 ಜನರ ಸ್ಥಿತಿ ಗಂಭೀರವಾಗಿದ್ದು, ಐಸಿಯುನಲ್ಲಿ ಚಿಕಿತ್ಸೆ ಪಡೆಯುತ್ತಿದ್ದಾರೆ.
ಬೆಂಗಳೂರಿನ ಅಂಕಿ-ಸಂಖ್ಯೆ
ಬೆಂಗಳೂರಿನಲ್ಲಿ ಬುಧವಾರ ಒಂದೇ ದಿನ 3420 ಹೊಸ ಕೋವಿಡ್ ಪ್ರಕರಣಗಳು ಪತ್ತೆಯಾಗಿದ್ದು, 32 ಮಂದಿ ಮೃತಪಟ್ಟಿದ್ದಾರೆ. ಬೆಂಗಳೂರಿನಲ್ಲಿ ಸೋಂಕಿತರ ಸಂಖ್ಯೆ 1,35,512 ಕ್ಕೆ ಏರಿಕೆಯಾಗಿದೆ. ಇದುವರೆಗೆ 2,037 ಮಂದಿ ಸಾವನ್ನಪ್ಪಿದ್ದಾರೆ. ಒಟ್ಟಾರೆ ರಾಜ್ಯದಲ್ಲಿ 94,459 ಸಕ್ರಿಯ ಪ್ರಕರಣಗಳಿದ್ದು, 751 ಮಂದಿ ಐಸಿಯುನಲ್ಲಿ ಚಿಕಿತ್ಸೆ ಪಡೆಯುತ್ತಿದ್ದಾರೆ.
ಜಿಲ್ಲಾವಾರು ಕೇಸ್
