ಸೋಮವಾರವೂ ಸಹ ಕರ್ನಾಟಕದಲ್ಲಿ ಕೊರೋನಾ ಸೋಂಕಿನ ಪ್ರಮಾಣ ಕಡಿಮೆಯಾಗಿದ್ದು, ಗುಣಮುಖರಾದವರ ಸಂಖ್ಯೆ ಹೆಚ್ಚಾಗಿದೆ.
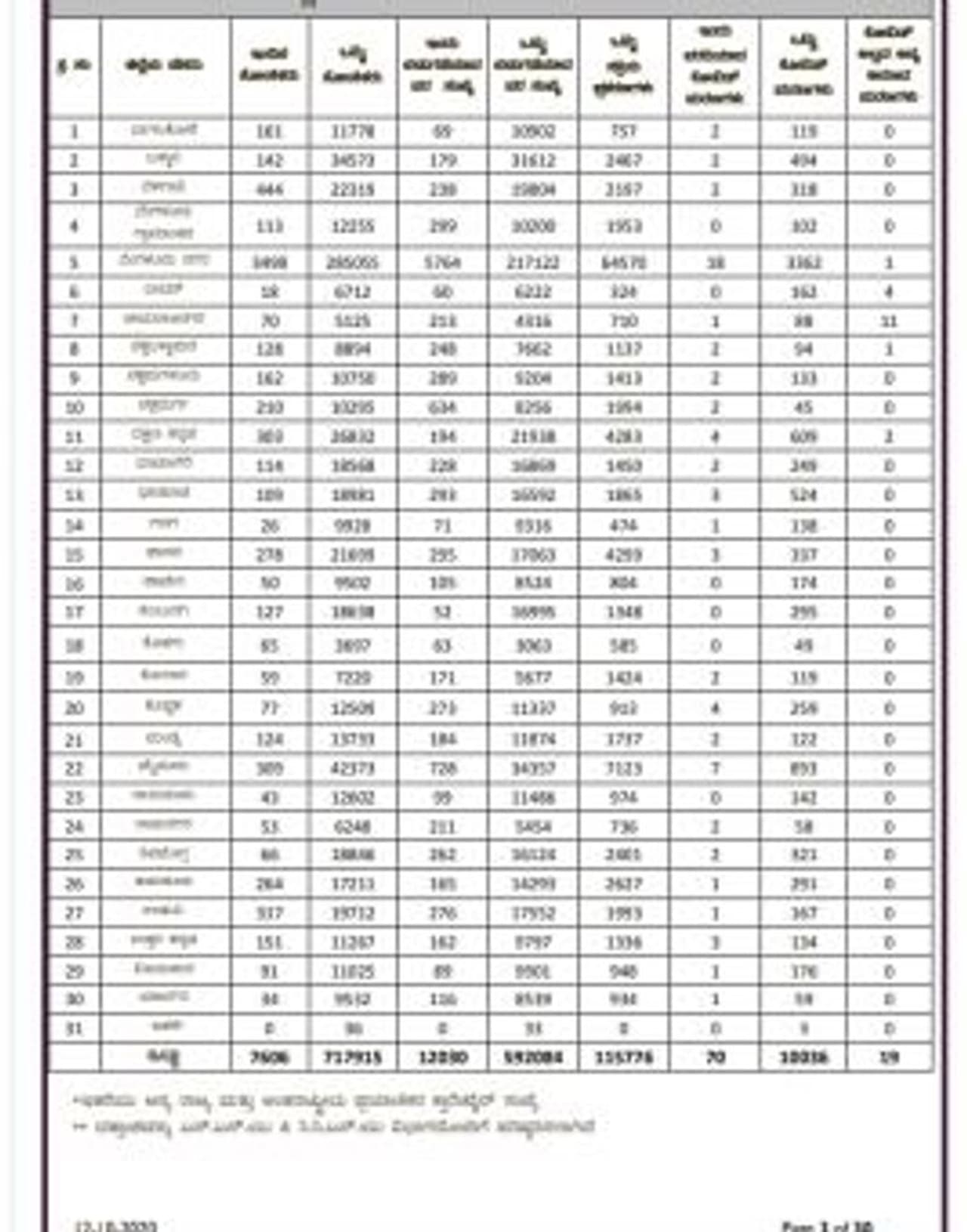
ಬೆಂಗಳೂರು, (ಅ.12): ಕರ್ನಾಟಕದಲ್ಲಿ ಇಂದು (ಸೋಮವಾರ) 7606 ಜನರಿಗೆ ಸೋಂಕು ತಗುಲಿದ್ದು, 70 ಮಂದಿ ಸಾವನ್ನಪ್ಪಿದ್ದಾರೆ.

ಇನ್ನು ಕಳೆದ 24 ಗಂಟೆಗಳಲ್ಲಿ 12030 ಜನರು ಕೊರೋನಾ ಸೋಂಕಿನಿಂದ ಗುಣಮುಖರಾಗಿದ್ದಾರೆ. ಇದು ಉತ್ತಮ ಬೆಳವಣಿಗೆಯಾಗಿದೆ. ಭಾನುವಾರವೂ ಸಹ ಕೊರೋನಾ ಸೋಂಕಿತರಿಗಿಂತ ಗುಣಮುಖರಾದವರ ಸಂಖ್ಯೆ ಹೆಚ್ಚಿತ್ತು. ಇದೀಗ ಅದು ಸೋಮವಾರವೂ ಸಹ ಮುಂದುವರೆದಿದೆ.
ಕರ್ನಾಟಕದಲ್ಲಿ ಭಾನುವಾರ ಕೊರೋನಾ ಸೋಂಕಿತರಿಗಿಂತ ಗುಣಮುಖರಾದವರ ಸಂಖ್ಯೆ ಹೆಚ್ಚು
ಇಂದಿನ 7606 ಕೇಸ್ನಿಂದಿಗೆ ರಾಜ್ಯದಲ್ಲಿ ಒಟ್ಟು ಸೋಂಕಿತರ ಸಂಖ್ಯೆ 7,17,915ಕ್ಕೆ ಏರಿಕೆಯಾಗಿದ್ರೆ, ಸಾವಿನ ಸಂಖ್ಯೆ 10036ಕ್ಕೇರಿದೆ ಎಂದು ರಾಜ್ಯ ಆರೋಗ್ಯ ಇಲಾಖೆ ಮಾಹಿತಿ ನೀಡಿದೆ.
ಸದ್ಯ ರಾಜ್ಯದಲ್ಲಿ 1,15,776 ಸಕ್ರಿಯ ಕೊರೋನಾ ಪ್ರಕರಣಗಳಿದ್ದು, ಈ ಪೈಕಿ 928 ಸೋಂಕಿತರು ಐಸಿಯುನಲ್ಲಿ ಚಿಕಿತ್ಸೆ ಪಡೆಯುತ್ತಿದ್ದಾರೆ.
ಸಿಲಿಕಾನ್ ಸಿಟಿ ಬೆಂಗಳೂರಿನಲ್ಲಿ ಸೋಮವಾರ ಒಂದೇ ದಿನ 3498 ಕೊರೋನಾ ಕೇಸ್ ಪತ್ತೆಯಾಗಿದ್ದು, 18 ಮಂದಿ ಸಾವನ್ನಪ್ಪಿದ್ದಾರೆ. ಈ ಮೂಲಕ ಬೆಂಗಳೂರಿನಲ್ಲಿ ಸಾವಿನ ಸಂಖ್ಯೆ 3362 ಕ್ಕೆ ಏರಿಕೆಯಾಗಿದೆ.
ಜಿಲ್ಲಾವಾರು ಕೊರೋನಾ ಕೇಸ್
