ಕರ್ನಾಟಕದಲ್ಲಿ ಶುಕ್ರವಾರ ಕೊರೋನಾ ಸೋಂಕಿತರಿಗಿಂತ ಗುಣಮುಖರಾದವರ ಸಂಖ್ಯೆಯೇ ಹೆಚ್ಚಾಗಿದೆ. ಇದು ಉತ್ತಮ ಬೆಳವಣಿಗೆಯಾಗಿದೆ.
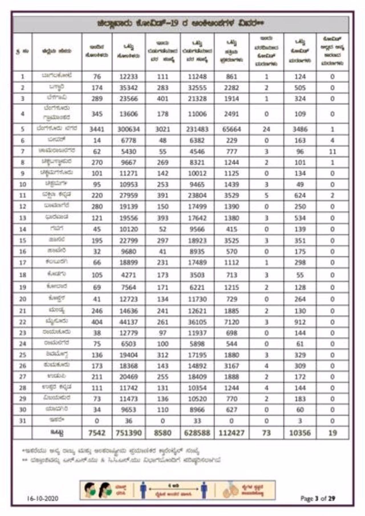
ಬೆಂಗಳೂರು, (ಅ.16): ರಾಜ್ಯದಲ್ಲಿ ಇಂದು (ಶುಕ್ರವಾರ) 7542 ಜನರಿಗೆ ಕೊರೋನಾ ಪಾಸಿಟಿವ್ ದೃಢಪಟ್ಟಿದೆ. ಇದರೊಂದಿಗೆ ಒಟ್ಟು ಸೋಂಕಿತರ ಸಂಖ್ಯೆ 7,51,390 ಕ್ಕೆ ಏರಿಕೆಯಾಗಿದೆ.

ರಾಜ್ಯದಲ್ಲಿ ಕಳೆದ 24 ಗಂಟೆಗಳಲ್ಲಿ 73 ಮಂದಿ ಸೋಂಕಿತರು ಮೃತಪಟ್ಟಿದ್ದಾರೆ. ಇದುವರೆಗೆ 10,356 ಮಂದಿ ಸಾವನ್ನಪ್ಪಿದ್ದಾರೆ. ಇನ್ನು ಶುಕ್ರವಾರ 8580 ಜನರು ಸೋಂಕಿನಿಂದ ಗುಣಮುಖರಾಗಿದ್ದಾರೆ. ಈ ಮೂಲಕ ಕಳೆದ 24 ಗಂಟೆಗಳಲ್ಲಿ ಕೊರೋನಾ ಸೋಂಕಿತರಿಗಿಂತ ಅದರಿಂದ ಗುಣಮುಖರಾದವರ ಸಂಖ್ಯೆಯೇ ಹೆಚ್ಚಾದಂತಾಗಿದೆ.
ಕೇಂದ್ರದಿಂದ ಮಹತ್ವದ ಸೂಚನೆ: ರಾಜ್ಯದಲ್ಲಿ ಶಾಲೆ-ಕಾಲೇಜು ಪ್ರಾರಂಭಕ್ಕೆ ಸುಳಿವು ಕೊಟ್ಟ ಡಿಸಿಎಂ
7,51,390 ಸೋಂಕಿತರ ಪೈಕಿ ಇದುವರೆಗೂ 6,28,588 ಜನ ಗುಣಮುಖರಾಗಿ ಬಿಡುಗಡೆಯಾಗಿದ್ದು, ಪ್ರಸ್ತುತ 1,12,427 ಜನ ಆಸ್ಪತ್ರೆಗಳಲ್ಲಿ ಚಿಕಿತ್ಸೆ ಪಡೆಯುತ್ತಿದ್ದಾರೆ.
ಬೆಂಗಳೂರಿನಲ್ಲಿ ಶುಕ್ರವಾರ 3441 ಮಂದಿಗೆ ಸೋಂಕು ತಗುಲಿರುವುದು ದೃಢಪಟ್ಟಿದೆ ಎಂದು ಆರೋಗ್ಯ ಮತ್ತು ಕುಟುಂಬ ಕಲ್ಯಾಣ ಇಲಾಖೆ ಮಾಹಿತಿ ನೀಡಿದೆ.
