ರಾಜ್ಯದಲ್ಲಿ ಕೊರೊನಾ ಸೋಂಕಿತರ ಸಂಖ್ಯೆ ಇಳಿಮುಖವಾಗಿದ್ದು, ಕೊರೋನಾ ಸೋಂಕಿತರಿಗಿಂತ ಗುಣಮುಖರಾದವರ ಸಂಖ್ಯೆಯೆ ಹೆಚ್ಚಾಗಿದೆ. ಇದು ಉತ್ತಮ ಬೆಳವಣಿಗೆಯಾಗಿದೆ.
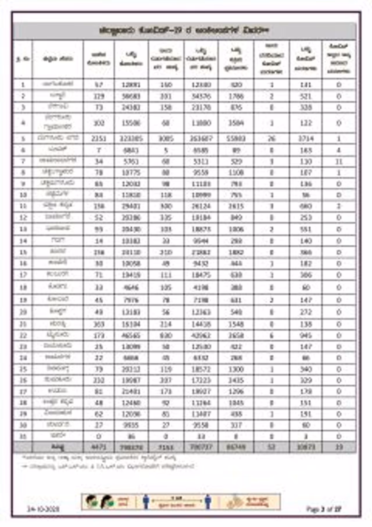
ಬೆಂಗಳೂರು, (ಅ.24): ರಾಜ್ಯದಲ್ಲಿ ಇಂದು (ಶನಿವಾರ) 4471 ಕೊರೋನಾ ಪಾಸಿಟಿವ್ ಪ್ರಕರಣಗಳು ಪತ್ತೆಯಾಗಿದ್ದು, 52 ಮಂದಿ ಸೋಂಕಿತರು ಮೃತಪಟ್ಟಿದ್ದಾರೆ.

ಇದುವರೆಗೆ 10,873 ಜನ ಸಾವನ್ನಪ್ಪಿದ್ರೆ, ಸೋಂಕಿತರ ಸಂಖ್ಯೆ 798378 ಏರಿಕೆಯಾಗಿದೆ ಎಂದು ಆರೋಗ್ಯ ಇಲಾಖೆ ಮಾಹಿತಿ ನೀಡಿದೆ.
ಜನರಿಗೆ ಕೊರೋನಾ ಲಸಿಕೆ ಒದಗಿಸಲು 51 ಸಾವಿರ ಕೋಟಿ ಮೀಸಲಿಟ್ಟ ಸರ್ಕಾರ
ಇನ್ನು ಕಳೆದ 24 ಗಂಟೆಗಳಲ್ಲಿ 7153 ಸೋಂಕಿತರು ಸೇರಿದಂತೆ ಇದುವರೆಗೆ 700737 ಸೋಂಕಿತರು ಗುಣಮುಖರಾಗಿ ಆಸ್ಪತ್ರೆಯಿಂದ ಡಿಸ್ಚಾರ್ಜ್ ಆಗಿದ್ದಾರೆ. ಇದರಿಂದಾಗಿ ರಾಜ್ಯದಲ್ಲಿ 86749 ಸಕ್ರೀಯ ಸೋಂಕಿತರಿರುವುದಾಗಿ ತಿಳಿಸಿದೆ.
ಬೆಂಗಳೂರು ನಗರದಲ್ಲಿ ಕೂಡ ಕೊರೋನಾ ಸೋಂಕಿನ ಪ್ರಮಾಣ ಕಡಿಮೆಯಾಗಿದ್ದು, ಶನಿವಾರ 2251 ಜನರಿಗೆ ಕೊರೋನಾ ಸೋಂಕು ತಗುಲಿದೆ. ಹೀಗಾಗಿ ಸೋಂಕಿತರ ಸಂಖ್ಯೆ 323305 ಕ್ಕೆ ಏರಿಕೆಯಾದೆ. 3005 ಸೋಂಕಿತರು ಸೇರಿದಂತೆ ಇದುವರೆಗೆ 263607 ಸೋಂಕಿತರು ಸಂಪೂರ್ಣವಾಗಿ ಗುಣಮುಖರಾಗಿ ಆಸ್ಪತ್ರೆಯಿಂದ ಡಿಸ್ಚಾರ್ಜ್ ಆಗಿದ್ದಾರೆ.
ಈ ಹಿಂದೆ ಪ್ರತಿ ನಿತ್ಯ 9 ಸಾವಿರ ಪಾಸಿಟಿವ್ ಕೇಸ್ಗಳು ಪತ್ತೆಯಾಗತ್ತಿದ್ದವು. ಇದೀಗ ಸೋಂಕಿತರ ಸಂಖ್ಯೆ ಪ್ರಮಾಣದಲ್ಲಿ ಕಡಿಮೆಯಾಗುತ್ತಿದ್ದು, ಇದು ಉತ್ತಮ ಬೆಳವಣಿಗೆಯಾಗಿದೆ.
