ರಾಜ್ಯದಲ್ಲಿ ಇಂದು (ಬುಧವಾರ) ಕೂಡ ಕೊರೋನಾ ಅಟ್ಟಹಾಸ ಮುಂದುವರೆದಿದ್ದು, ಸೋಂಕಿತರ ಸಂಖ್ಯೆ 6 ಲಕ್ಷ ಗಡಿದಾಟಿದೆ.
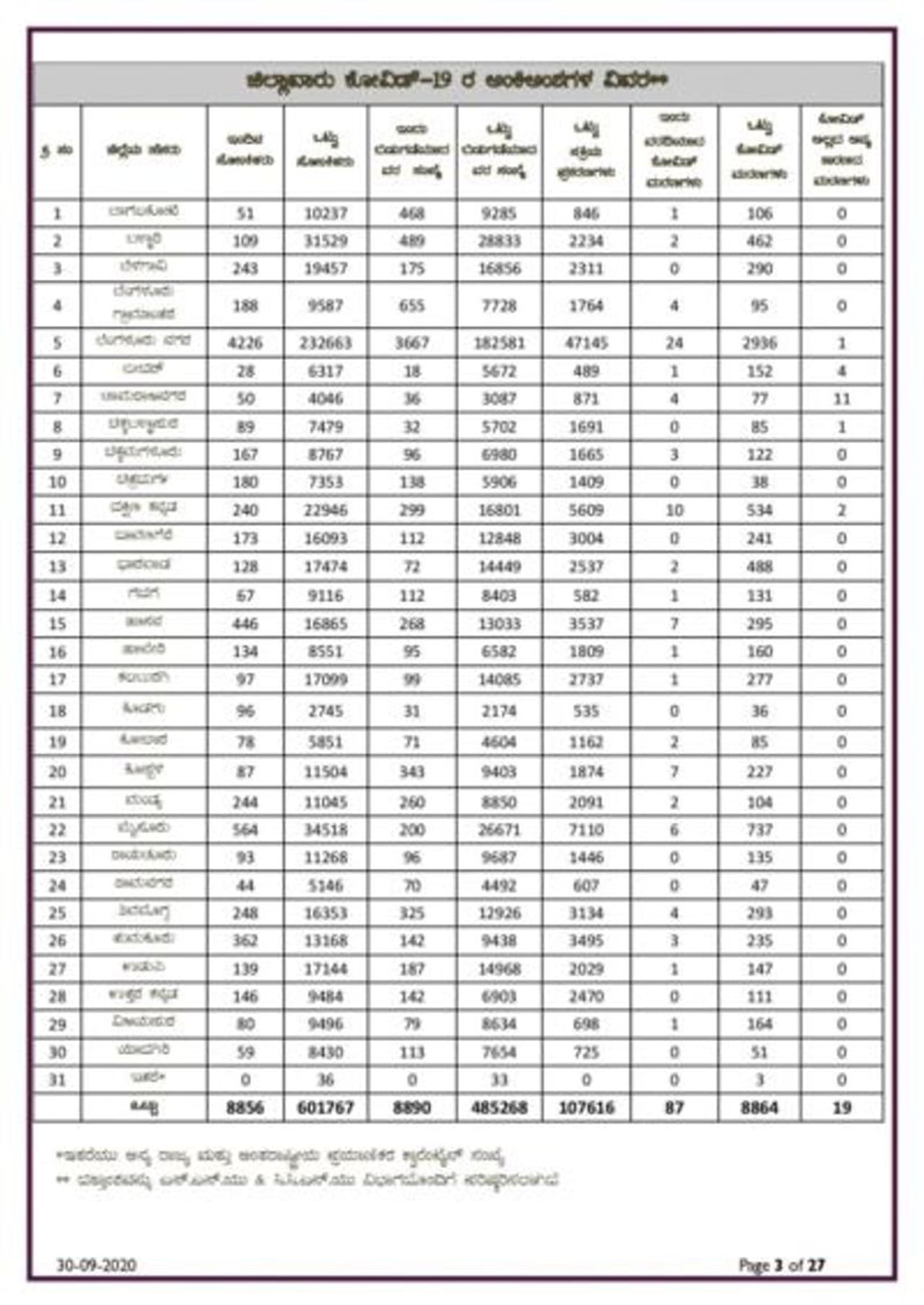
ಬೆಂಗಳೂರು, (ಸೆ.30) : ರಾಜ್ಯದಲ್ಲಿ ಇಂದು (ಬುಧವಾರ) 8,856 ಕೊರೋನಾ ಪಾಸಿಟಿವ್ ಕೇಸ್ ಪತ್ತೆಯಾಗಿವೆ. ಈ ಮೂಲಕ ಸೋಂಕಿತರ ಸಂಖ್ಯೆ 6 ಲಕ್ಷ ಗಡಿದಾಟಿದೆ.

6,01,767 ಸೋಂಕಿತರ ಪೈಕಿ 4,85,268 ಜನರು ಸಂಪೂರ್ಣವಾಗಿ ಗುಣಮುಖರಾಗುವ ಮೂಲಕ ಆಸ್ಪತ್ರೆಯಿಂದ ಡಿಸ್ಚಾರ್ಜ್ ಆಗಿದ್ದಾರೆ. ಹೀಗಾಗಿ ರಾಜ್ಯದಲ್ಲಿ ಇದೀಗ 1,07,616 ಸಕ್ರೀಯ ಸೋಂಕಿತರಿದ್ದಾರೆ.
ಕೊರೋನಾ ತಡೆಯಲು ಕಟ್ಟುನಿಟ್ಟಿನ ಕ್ರಮ: ರಾಜ್ಯದ ಜನರೇ ಎಚ್ಚರ, ಬೀಳುತ್ತೆ ಭಾರೀ ದಂಡ
ಇನ್ನು ಕಳೆದ 24 ಗಂಟೆಗಳಲ್ಲಿ87 ಜನರು ಕೊರೋನಾಗೆ ಬಲಿಯಾಗಿದ್ದಾರೆ. ಇದೊಂದಿಗೆ ರಾಜ್ಯದಲ್ಲಿ ಕೊರೋನಾ ಸೋಂಕಿನಿಂದಾಗಿ ಸಾವನ್ನಪ್ಪಿದವರು ಸಂಖ್ಯೆ 8,864ಕ್ಕೆ ಏರಿಕೆಯಾಗಿದೆ.
