
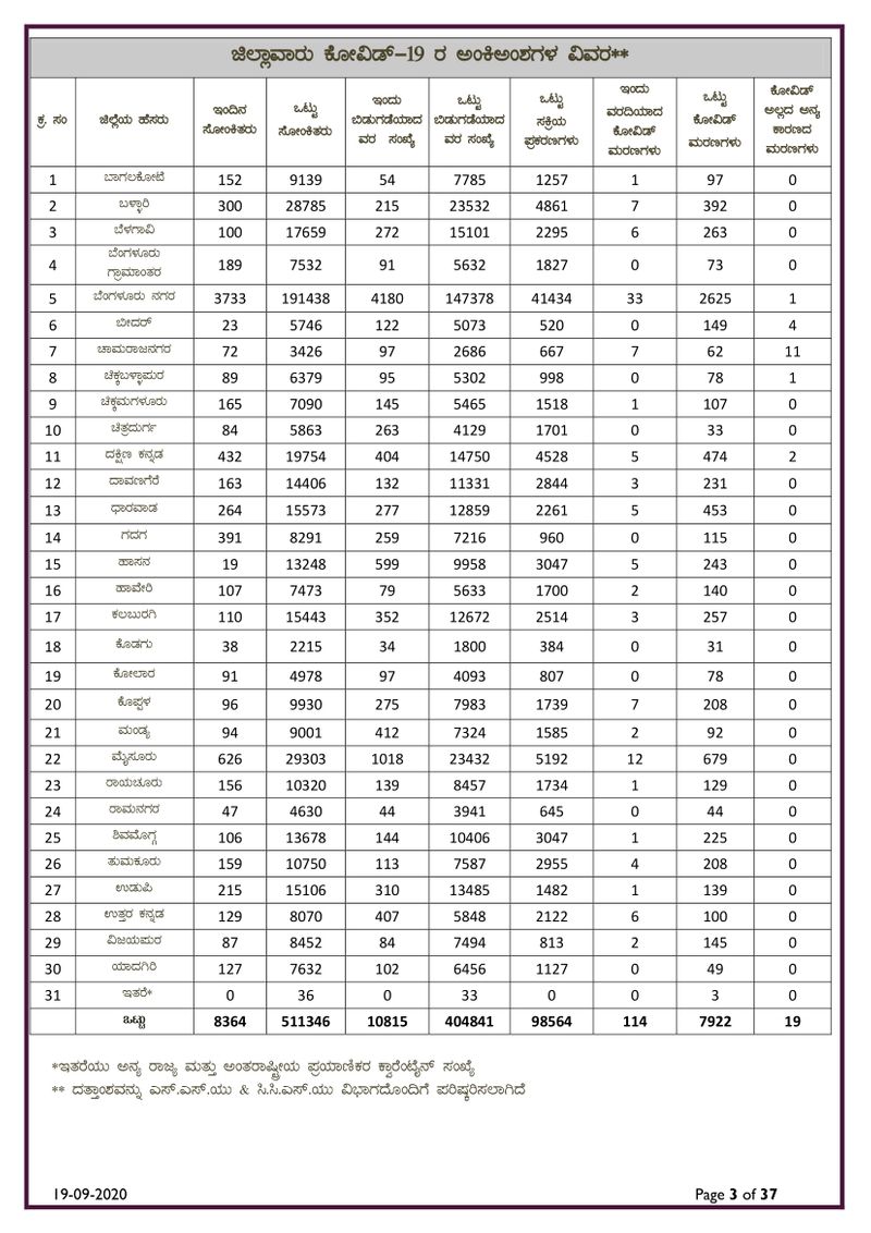
ಬೆಂಗಳೂರು, (ಸೆ.19): ರಾಜ್ಯದಲ್ಲಿ ಇಂದು (ಶನಿವಾರ) 8,364 ಹೊಸ ಕೊರೋನಾ ಪಾಸಿಟಿವ್ ಪ್ರಕರಣಗಳು ಪತ್ತೆಯಾಗಿದ್ದು, 114 ಸೋಂಕಿತರು ಮಹಾಮಾರಿಗೆ ಬಲಿಯಾಗಿದ್ದಾರೆ. ಇನ್ನು 10815 ಮಂದಿ ಆಸ್ಪತ್ರೆಯಿಂದ ಡಿಸ್ವಾರ್ಜ್ ಆಗಿದ್ದಾರೆ
ರಾಜ್ಯದ ಕೊರೋನಾ ಸೋಂಕಿತರ ಸಂಖ್ಯೆ 5,11,346ಕ್ಕೆ ಏರಿಕೆಯಾಗಿದ್ದು, 4,04,841 ಮಂದಿ ಈವರೆಗೂ ಗುಣಮುಖರಾಗಿ ಆಸ್ಪತ್ರೆಯಿಂದ ಡಿಸ್ಚಾರ್ಜ್ ಆಗಿದ್ದಾರೆ. ಇದರೊಂದಿಗೆ ಚೇತರಿಕೆ ಪ್ರಮಾಣದಲ್ಲಿ ಏರಿಕೆಯಾಗಿದೆ.
ಕೊರೋನಾ ಹೋರಾಟ: ಮೊಝಂಬಿಕ್ಗೆ ಭಾರತದಿಂದ 13 ಬಗೆಯ ಔಷಧ ನೆರವು
ಒಟ್ಟು 7922 ಮಂದಿ ಮೃತಪಟ್ಟಿದ್ದು, 98,564 ಸಕ್ರಿಯ ಪ್ರಕರಣಗಳಿವೆ. ಈ ಪೈಕಿ 822 ಸೋಂಕಿತರು ಐಸಿಯುವಿನಲ್ಲಿ ಚಿಕಿತ್ಸೆ ಪಡೆಯುತ್ತಿದ್ದಾರೆ ಎಂದು ರಾಜ್ಯ ಆರೋಗ್ಯ ಇಲಾಖೆ ಮಾಹಿತಿ ನೀಡಿದೆ.
ಜಿಲ್ಲಾವಾರು ಕೊರೋನಾ ಸಂಖ್ಯೆ
ಕರ್ನಾಟಕ, ಭಾರತ (India News) ಮತ್ತು ಜಗತ್ತಿನ ಕ್ಷಣಕ್ಷಣದ ಕನ್ನಡ ಸುದ್ದಿ (Kannada News) ಅಪ್ಡೇಟ್ಗಳಿಗಾಗಿ ಏಷ್ಯಾನೆಟ್ ಸುವರ್ಣ ನ್ಯೂಸ್ ಫಾಲೋ ಮಾಡಿ. ಬ್ರೇಕಿಂಗ್ ಸುದ್ದಿ (Latest Kannada News), ವಿಶೇಷ ವರದಿಗಳು ಮತ್ತು ನೇರ ಪ್ರಸಾರಗಳೊಂದಿಗೆ (kannada news live) ಸಂಪೂರ್ಣ ಮಾಹಿತಿ ಒಂದೇ ಕ್ಲಿಕ್ನಲ್ಲಿ ಲಭ್ಯ. ಏಷ್ಯಾನೆಟ್ ಸುವರ್ಣ ನ್ಯೂಸ್ ಅಧಿಕೃತ ಆ್ಯಪ್ ಡೌನ್ಲೋಡ್ ಮಾಡಿ ಹಾಗು ಎಲ್ಲಾ ಅಪ್ಡೇಟ್ ಗಳನ್ನು ಪಡೆಯಿರಿ