
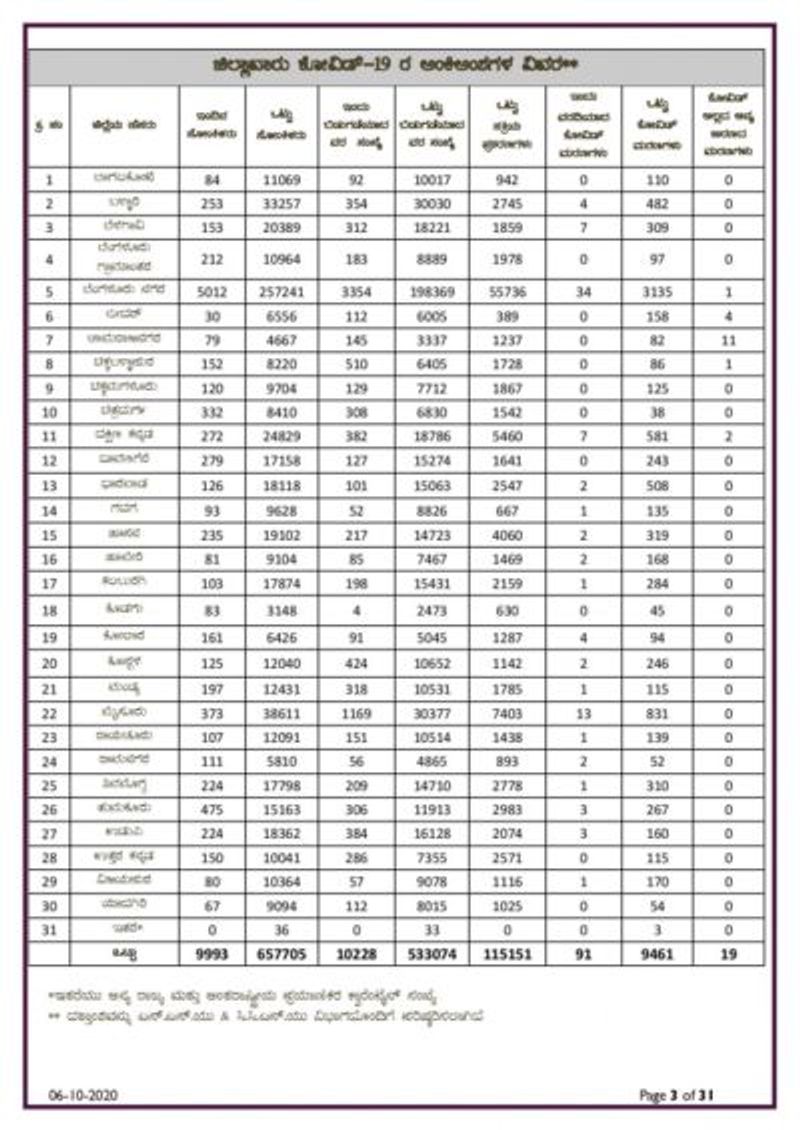
ಬೆಂಗಳೂರು. (ಅ.06): ರಾಜ್ಯದಲ್ಲಿ ಇಂದು (ಮಂಗಳವಾರ) ಹೊಸದಾಗಿ 9,993 ಜನರಿಗೆ ಕೊರೋನಾ ಪಾಸಿಟಿವ್ ಕೇಸ್ಗಳು ಪತ್ತೆಯಾಗಿವೆ.
ಈ ಮೂಲಕ ಸೋಂಕಿತರ ಸಂಖ್ಯೆ 6,57,705ಕ್ಕೆ ಏರಿಕೆಯಾಗಿದೆ.
ಈ ಕುರಿತಂತೆ ರಾಜ್ಯ ಆರೋಗ್ಯ ಮತ್ತು ಕುಟುಂಬ ಕಲ್ಯಾಣ ಇಲಾಖೆ ಕೊರೋನಾ ಹೆಲ್ತ್ ಬುಲೆಟಿನ್ ಬಿಡುಗಡೆ ಮಾಡಿದ್ದು, ಬೆಂಗಳೂರು ನಗರದಲ್ಲಿ 5,012 ಜನರು ಸೇರಿದಂತೆ ಒಟ್ಟು 9,993 ಜನರಿಗೆ ಕೊರೋನಾ ಪಾಸಿಟಿವ್ ಎಂಬುದಾಗಿ ದೃಢಪಟ್ಟಿದೆ. ಹೀಗಾಗಿ ಸೋಂಕಿತರ ಸಂಖ್ಯೆ 6,57,705ಕ್ಕೆ ಏರಿಕೆಯಾಗಿದೆ.
ಹೆಚ್ಚಾಗುತ್ತಿದೆ ಕೋವಿಡ್ ಸೋಂಕು; ಅಸ್ತಮಾ ಇರುವವರೇ ಇರಲಿ ಆರೋಗ್ಯದ ಬಗ್ಗೆ ನಿಗಾ
ಕಳೆದ 24 ಗಂಟೆಗಳಲ್ಲಿ 10,228 ಜನರು ಕೊರೋನಾದಿಂದ ಗುಣಮುಖರಾಗಿ ಆಸ್ಪತ್ರೆಯಿಂದ ಬಿಡುಗಡೆಯಾಗಿದ್ದಾರೆ. ಇದರೊಂದಿಗೆ ಇದುವರೆಗೆ 5,33,074 ಸೋಂಕಿತರು ಸಂಪೂರ್ಣವಾಗಿ ಗುಣಮುಖರಾದಂತಾಗಿದೆ.
ಪ್ರಸ್ತು ರಾಜ್ಯದಲ್ಲಿ 1,15,151 ಸಕ್ರೀಯ ಸೋಂಕಿತರಿದ್ದು, ಅವರಿಗೆ ಚಿಕಿತ್ಸೆ ಮುಂದುವರೆದಿದೆ. ಇನ್ನು ಮಂಗಳವಾರ 91 ಜನರು ಕಿಲ್ಲರ್ ಕೊರೋನಾಗೆ ಬಲಿಯಾಗಿದ್ದು, ಒಟ್ಟು ಸಾವಿನ ಸಂಖ್ಯೆ 9,461ಕ್ಕೇರಿದೆ.
ಜಿಲ್ಲಾವಾರು ಕೊರೋನಾ ಕೇಸ್
ಕರ್ನಾಟಕ, ಭಾರತ (India News) ಮತ್ತು ಜಗತ್ತಿನ ಕ್ಷಣಕ್ಷಣದ ಕನ್ನಡ ಸುದ್ದಿ (Kannada News) ಅಪ್ಡೇಟ್ಗಳಿಗಾಗಿ ಏಷ್ಯಾನೆಟ್ ಸುವರ್ಣ ನ್ಯೂಸ್ ಫಾಲೋ ಮಾಡಿ. ಬ್ರೇಕಿಂಗ್ ಸುದ್ದಿ (Latest Kannada News), ವಿಶೇಷ ವರದಿಗಳು ಮತ್ತು ನೇರ ಪ್ರಸಾರಗಳೊಂದಿಗೆ (kannada news live) ಸಂಪೂರ್ಣ ಮಾಹಿತಿ ಒಂದೇ ಕ್ಲಿಕ್ನಲ್ಲಿ ಲಭ್ಯ. ಏಷ್ಯಾನೆಟ್ ಸುವರ್ಣ ನ್ಯೂಸ್ ಅಧಿಕೃತ ಆ್ಯಪ್ ಡೌನ್ಲೋಡ್ ಮಾಡಿ ಹಾಗು ಎಲ್ಲಾ ಅಪ್ಡೇಟ್ ಗಳನ್ನು ಪಡೆಯಿರಿ