
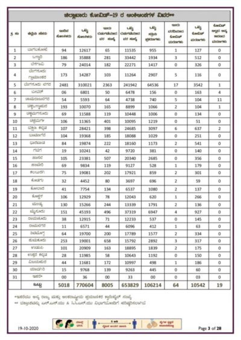
ಬೆಂಗಳೂರು, (ಅ.19): ಕರ್ನಾಟಕದಲ್ಲಿ ಇಂದು (ಸೋಮವಾರ) ಕೊರೋನಾ ಪಾಸಿಟಿವ್ ಸಂಖ್ಯೆಯಲ್ಲಿ ಇಳಿಕೆ ಕಂಡಿದ್ದು, ಕಳೆದ 24 ಗಂಟೆಗಳಲ್ಲಿ 5018 ಕೊರೋನಾ ಕೇಸ್ ಪತ್ತೆಯಾಗಿದೆ.
ಈ ಮೂಲಕ ಸೋಂಕಿತರ ಸಂಖ್ಯೆ 7,70,604ಕ್ಕೆ ಏರಿಕೆಯಾಗಿದ್ದು, ಸೋಮವಾರ 64 ಸಾವಿನ ಪ್ರಕರಣಗಳೊಂದಿಗೆ ಒಟ್ಟು ಮೃತಪಟ್ಟವರ ಸಂಖ್ಯೆ 10,542ಕ್ಕೆ ಏರಿಕೆಯಾಗಿದೆ.
ಇನ್ನು ಸೋಮವಾರ ಒಂದೇ ದಿನ 8005 ಕೊರೋನ ಸೋಂಕಿತರು ಗುಣಮುಖರಾಗಿದ್ದಾರೆ. ಇದರೊಂದಿಗೆ ರಾಜ್ಯದಲ್ಲಿ ಒಟ್ಟು ಇದುವರೆಗೆ 6,53,829 ಸೋಂಕಿತರು ಸಂಪೂರ್ಣವಾಗಿ ಗುಣಮುಖರಾದಂತಾಗಿದೆ.
ಕೊರೋನಾ ಲಸಿಕೆ: ಗುಡ್ ನ್ಯೂಸ್ ಕೊಟ್ಟ ಸೆರಂ ಸಂಸ್ಥೆ!
ಪ್ರಸ್ತುತ ರಾಜ್ಯದಲ್ಲಿ 1,06,214 ಸಕ್ರೀಯ ಕೇಸ್ಗಳಿದ್ದು, ಅವರಿಗೆ ಚಿಕಿತ್ಸೆ ಮುಂದುವರೆದಿದೆ ಎಂದು ಆರೋಗ್ಯ ಇಲಾಖೆ ಮಾಹಿತಿ ನೀಡಿದೆ.
ಇನ್ನು ಬೆಂಗಳೂರು ನಗರದಲ್ಲಿ 2481 ಜನರು ಸೇರಿದಂತೆ ಒಟ್ಟು 5018 ಜನರಿಗೆ ಕೊರೋನಾ ಪಾಸಿಟಿವ್ ಪ್ರಕರಣಗಳು ದೃಢಪಟ್ಟಿದೆ. ಇದರಿಂದಾಗಿ ಸೋಂಕಿತರ ಸಂಖ್ಯೆ 7,70,604ಕ್ಕೆ ಏರಿಕೆಯಾಗಿದೆ.
ಒಟ್ಟಿನಲ್ಲಿ ಪ್ರತಿನಿತ್ಯ 9ರಿಂದ 10 ಸಾವಿರ ಕೇಸ್ಗಳು ಪತ್ತೆಯಾಗುತ್ತಿದ್ದವು, ಆದ್ರೆ, ಇದೀಗ ಕೇಸ್ ಪ್ರಮಾಣದ ಸಂಖ್ಯೆ ಇಳಿಮುಖ ಕಾಣುತ್ತಿರುವುದು ಹೊಸ ಆಶಾಭಾವನೆ ಮೂಡಿಸಿದೆ.
ಕರ್ನಾಟಕ, ಭಾರತ (India News) ಮತ್ತು ಜಗತ್ತಿನ ಕ್ಷಣಕ್ಷಣದ ಕನ್ನಡ ಸುದ್ದಿ (Kannada News) ಅಪ್ಡೇಟ್ಗಳಿಗಾಗಿ ಏಷ್ಯಾನೆಟ್ ಸುವರ್ಣ ನ್ಯೂಸ್ ಫಾಲೋ ಮಾಡಿ. ಬ್ರೇಕಿಂಗ್ ಸುದ್ದಿ (Latest Kannada News), ವಿಶೇಷ ವರದಿಗಳು ಮತ್ತು ನೇರ ಪ್ರಸಾರಗಳೊಂದಿಗೆ (kannada news live) ಸಂಪೂರ್ಣ ಮಾಹಿತಿ ಒಂದೇ ಕ್ಲಿಕ್ನಲ್ಲಿ ಲಭ್ಯ. ಏಷ್ಯಾನೆಟ್ ಸುವರ್ಣ ನ್ಯೂಸ್ ಅಧಿಕೃತ ಆ್ಯಪ್ ಡೌನ್ಲೋಡ್ ಮಾಡಿ ಹಾಗು ಎಲ್ಲಾ ಅಪ್ಡೇಟ್ ಗಳನ್ನು ಪಡೆಯಿರಿ